A section for posts relating to applications for Naturalisation or Registration as a British Citizen.
Naturalisation
Moderators: Casa, archigabe, CR001, push, JAJ, ca.funke, Amber, zimba, vinny, Obie, EUsmileWEallsmile, batleykhan, meself2, geriatrix, John, ChetanOjha
-
pelen23
- Junior Member
- Posts: 85
- Joined: Sun Jun 12, 2011 9:48 pm
Post
by pelen23 » Wed Nov 26, 2014 5:06 pm
slough_g wrote:Seems like they have become very slow, following being super-fast at handling these things beginning of October.
I think they have approved quite a few application up until the mid October even though there was a delay in debiting the fee.hopefully, November applications will come through by Xmas
Last edited by
pelen23 on Wed Nov 26, 2014 5:18 pm, edited 1 time in total.
-
myerdee
- Newly Registered
- Posts: 9
- Joined: Mon Nov 24, 2014 9:06 pm
Post
by myerdee » Wed Nov 26, 2014 5:13 pm
Yea, it looks like we have to wait 20 days to get acknowledgement and be debited of fees. Then the wait continues
-
Mkemokgatla
- Newly Registered
- Posts: 3
- Joined: Thu Nov 27, 2014 3:33 am
Post
by Mkemokgatla » Thu Nov 27, 2014 4:00 am
Eligibility criteria: Work Permit 6yrs + Indefinite Leave to Remain 3yrs
Language criteria met: B1 + Life in the UK Test
Current nationality: Botswana
Method of application: NCS
Council name if NCS used: Southwark
Date of application: 06/11/2014
Payment method : Credit Card
Date of receipt by UKBA: 07/11/2014
Date of acknowledgement: 24/11/2014 (received on 27/11/2014)
Date of debit or clearance of fees: 24/11/2014
Date approval received: Waiting
Date of ceremony:Waiting
-
pixiebabe
- Newly Registered
- Posts: 4
- Joined: Fri Nov 14, 2014 11:05 am
Post
by pixiebabe » Thu Nov 27, 2014 4:58 am
Eligibility criteria: 5 yrs Spouse of BC + 1 yr ILR
Language criteria met: B1 Trinity + Life in the UK
Method of application: NCS
Date of application: 10/11/14
Payment method: CC
Date of receipt by UKBA: 11/11/14
Date of acknowledgement: 26/11/14
Date of debit or clearance of fees: 25/11/14
Date approval received: ??waiting
Date of ceremony: ??waiting
Last edited by
pixiebabe on Thu Nov 27, 2014 10:04 pm, edited 1 time in total.
-
2013uk
- Newly Registered
- Posts: 25
- Joined: Mon Dec 16, 2013 4:44 pm
Post
by 2013uk » Thu Nov 27, 2014 10:34 am
Eligibility criteria: 10 years residence + 1 year ILR
Language criteria met : FCE
Method of application: NCS
Council name if NCS used: Hammersmith and Fulham
Date of application: 10/11/14
Payment method: Debit card
Date of receipt by UKBA: 12/11/2014
Date of acknowledgment: Waiting
Date of debit or clearance of fees: 27/11/2014 (showing as pending)
Date approval received: Waiting
Date of ceremony: Waiting
-
iwantmyresidenceasap
- Newly Registered
- Posts: 24
- Joined: Fri Apr 04, 2014 8:33 pm
Post
by iwantmyresidenceasap » Thu Nov 27, 2014 1:58 pm
iwantmyresidenceasap wrote:Eligibility criteria: EEA2 RC 5 years, plus 1 year PR (not 1 year on EEA4 sticker, 1 year after 5 year anniversary of date of marriage - 6 years in total)
Language criteria met: ESOL + Life in the UK
Method of application: NCS
Date of application: 10/11/14
Payment method: DC
Date of receipt by UKBA: 11/11/14
Date of acknowledgment: 26/11/14
Date of debit or clearance of fees: 25/11/14
Date approval received: TBC
Date of ceremony: TBC
-
travelerzee
- Member
- Posts: 116
- Joined: Fri Mar 26, 2010 5:34 pm
Post
by travelerzee » Thu Nov 27, 2014 6:21 pm
UPDATE:
Eligibility criteria: spouse of bc + 3 weeks ilr
Language criteria met: PBS printout, original non uk degree certs
Current nationality: South African
Method of application: NCS
Council name if NCS used: Wolverhampton
Date of application: 07/11/14
Payment method: debit card
Date of receipt by UKBA: 10/11/14 (according to NCS)
Date of debit or clearance of fees: 25/11/14
Date of acknowledgment: 27/11/14 (dated 24th)
Date approval received: tbc
Date of ceremony:tbc
-
jpk
- Newly Registered
- Posts: 12
- Joined: Tue Jan 29, 2013 9:10 am
Post
by jpk » Fri Nov 28, 2014 11:17 am
Eligibility criteria: 5 year residency EEA Family member + 1 year ILR
Language criteria met: Degree in the UK
Current nationality: S. Korean
Method of application: NCS
Council name if NCS used: Richmond
Date of application: 05/11/2014
Payment method : Debit Card
Date of receipt by UKBA: 06/11/2014
Date of acknowledgment: 27/11/2014 (dated 24/11/2014)
Date of debit or clearance of fees: 26/11/2014
Date approval received: Waiting
Date of ceremony:Waiting
acknowledgement updated
-
m.sheikh
- Junior Member
- Posts: 91
- Joined: Fri Apr 07, 2006 4:50 am
Post
by m.sheikh » Fri Nov 28, 2014 3:23 pm
Eligibility criteria: indefinite leave to remain (10 year + 1 ILR)
Language criteria met (trinity B1)
Current nationality: Pakistan
Method of application: NCS
Council name if NCS used: Slough
Date of application: 0Eligibility criteria: indefinite leave to remain (10 year Long Residence)
Language criteria met (English Language Test plus life test in UK)
Current nationality: Pakistan
Method of application: NCS Slough
Date of application: 12/11/2014
Payment method : Card
Date of receipt by UKBA: 13/11/2014
Date of aknowlegment: Received an email on 28/11/14
Date of debit or clearance of fees: 28/11/14
Date approval received: Waiting
-
michael76
- Newly Registered
- Posts: 7
- Joined: Wed Jun 04, 2014 7:38 pm
Post
by michael76 » Fri Nov 28, 2014 11:48 pm
Eligibility criteria: Spouse BC 3 years + 3 months on ILR
Language criteria met: Trinity college B1
Current nationality:
Method of application: NCS
Council name if NCS used: Rebridge
Date of application: 06/11/2014
Payment method : Credit Card
Date of receipt by UKBA: 07/11/2014
Date of acknowledgment: 25/11/2014
Date of debit or clearance of fees: 24/11/2014
Date approval received: very soon.
Date of ceremony: very soon
-
2013uk
- Newly Registered
- Posts: 25
- Joined: Mon Dec 16, 2013 4:44 pm
Post
by 2013uk » Sat Nov 29, 2014 10:43 am
Eligibility criteria: 10 years residence + 1 year ILR
Language criteria met : FCE
Method of application: NCS
Council name if NCS used: Hammersmith and Fulham
Date of application: 10/11/14
Payment method: Debit card
Date of receipt by UKBA: 12/11/2014
Date of acknowledgment: 26/11/2014 (received 29/11/2014)
Date of debit or clearance of fees: 27/11/2014
Date approval received: Waiting
Date of ceremony: Waiting
-
sammy2014
- Newly Registered
- Posts: 25
- Joined: Sun Oct 26, 2014 12:09 pm
Post
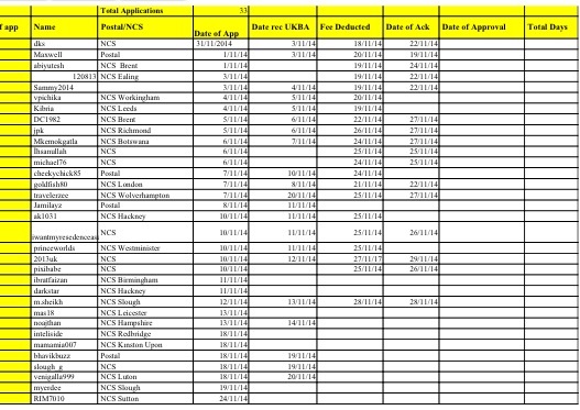
by sammy2014 » Sat Nov 29, 2014 11:27 am
Here is the timeline of November applications. Sorry for this basic excel spread sheet. I am rubbish at excel

-
Attachments
-

- image.jpg (93.82 KiB) Viewed 3788 times
-
sammy2014
- Newly Registered
- Posts: 25
- Joined: Sun Oct 26, 2014 12:09 pm
Post
by sammy2014 » Sat Nov 29, 2014 11:35 am
sammy2014 wrote:Here is the timeline of November applications. Sorry for this basic excel spread sheet. I am rubbish at excel

Sorry , it is a bit fuzzy but what I will do is to prepare another one next week. hopefully we will have some approvals by then

-
travelerzee
- Member
- Posts: 116
- Joined: Fri Mar 26, 2010 5:34 pm
Post
by travelerzee » Sat Nov 29, 2014 12:29 pm
sammy2014 wrote:sammy2014 wrote:Here is the timeline of November applications. Sorry for this basic excel spread sheet. I am rubbish at excel

Sorry , it is a bit fuzzy but what I will do is to prepare another one next week. hopefully we will have some approvals by then

thanks Sammy2014

-
sammy2014
- Newly Registered
- Posts: 25
- Joined: Sun Oct 26, 2014 12:09 pm
Post
by sammy2014 » Sat Nov 29, 2014 2:46 pm
Your welcome travellerzee . Fingers crossed
-
Maxwell
- Member
- Posts: 181
- Joined: Mon Aug 19, 2013 6:14 pm
Post
by Maxwell » Sat Nov 29, 2014 3:04 pm
Great job Sammy! Thank you!

-
Ibratfaizan
- Newly Registered
- Posts: 4
- Joined: Wed Jan 23, 2013 9:14 pm
Post
by Ibratfaizan » Sun Nov 30, 2014 3:49 pm
Ibratfaizan wrote:Eligibility criteria: HSMP+ Tier1 + 1 year ILR
Language criteria met (UK degree, exempt countries, PBS used documents, NARIC, or B1 test): IELTS
Current nationality: Indian
Method of application: NCS
Council name if NCS used: Birmigham
Date of application: 11/11/14
Payment method CC/DC, Personal cheque, Bankers cheque etc: Debit Card
Date of receipt by UKBA: Waiting :26/11/2004
Date of acknowledgment: Waiting :26/11/2004
Date of debit or clearance of fees: Waiting :26/11/2004
Date approval received: Waiting
Date of ceremony: Waiting

-
farhansunny
- Newly Registered
- Posts: 8
- Joined: Mon Dec 01, 2014 12:06 am
Post
by farhansunny » Mon Dec 01, 2014 12:24 am
Eligibility criteria: Tier1 General + 13 months on ILR
Language criteria met: UK Degree + LIUK
Current nationality: Pakistani
Method of application: NCS
Council name if NCS used: Newham
Date of application: 14/11/2014
Payment method : Credit Card
Date of receipt by UKBA: 17/11/2014
Date of acknowledgment: waiting
Date of debit or clearance of fees: waiting
Date approval received: waiting
Date of ceremony: waiting
-
sandram45
- Newly Registered
- Posts: 16
- Joined: Tue Feb 14, 2012 12:03 pm
Post
by sandram45 » Mon Dec 01, 2014 12:23 pm
Eligibility criteria: WP+Tier 1+ 1 yr ILR
Language criteria met: Original Degree (India)+ NARIC ELA
Method of application: NCS Kingston Upon Thames
Date of application: 12/11/14
Payment method: CC
Date of receipt by UKBA: 13/11/14 (As per Royal mail tracking number provided by NCS)
Date of debit or clearance of fees: 27/11/14
Date of acknowledgment: 28/11/2014 via email.
Date approval received: TBC
Date of ceremony: TBC
-
lolek
- Newly Registered
- Posts: 3
- Joined: Mon Dec 01, 2014 12:57 pm
Post
by lolek » Mon Dec 01, 2014 1:01 pm
Eligibility criteria: spouse of BC + 14 mts ILR
Language criteria met : ESOL Skills for Life Entry 3
Method of application: NCS
Council name if NCS used: Luton
Date of application: 13/11/14
Payment method: Credit card
Date of receipt by UKBA: 17/11/2014
Date of acknowledgment: Waiting
Date of debit or clearance of fees: 27/11/2014
Date approval received: Waiting
Date of ceremony: Waiting
-
bhavikbuzz
- Newly Registered
- Posts: 25
- Joined: Thu Feb 25, 2010 1:21 pm
Post
by bhavikbuzz » Mon Dec 01, 2014 1:01 pm
Eligibility criteria: Tier1 + 1 year ILR
Method of application: Postal
Date of application: 18/11/14
Payment method : CC
Date of receipt by UKBA: 19/11/14
Date of debit or clearance of fees: 29/11/14
Date of acknowledgment: waiting
Date approval received: waiting
Date of ceremony:waiting
Last edited by
bhavikbuzz on Tue Dec 02, 2014 6:29 am, edited 1 time in total.
-
abhiyutesh
- Newly Registered
- Posts: 22
- Joined: Mon Mar 18, 2013 9:00 pm
Post
by abhiyutesh » Mon Dec 01, 2014 1:18 pm
[quote="sammy2014"][quote="sammy2014"]Here is the timeline of November applications. Sorry for this basic excel spread sheet. I am rubbish at excel

[/quote]
Sorry , it is a bit fuzzy but what I will do is to prepare another one next week. hopefully we will have some approvals by then

[/quote]
Good Job Sammy... Thanks a lot

-
myerdee
- Newly Registered
- Posts: 9
- Joined: Mon Nov 24, 2014 9:06 pm
Post
by myerdee » Mon Dec 01, 2014 1:24 pm
myerdee wrote:Eligibility criteria: Spouse of BC + 1 yr of ILR
Language criteria met Pearson Test of English, Life in the UK test
Current nationality: Filipino
Method of application: NCS
Council name if NCS used: Slough
Date of application: 19/11/14
Payment method CC/DC, Personal cheque, Bankers cheque etc: Debit Card
Date of receipt by UKBA: 20/11/14 (according to royalmail.com, received and signed)
Date of acknowledgment: Waiting
Date of debit or clearance of fees: December 1,2014
Date approval received: Waiting
Date of ceremony: Waiting
Updated. Checked my balance and it seems they took the fee today.
Now the waiting starts.
-
venigalla999
- Newly Registered
- Posts: 14
- Joined: Sat Mar 26, 2011 1:10 pm
Post
by venigalla999 » Mon Dec 01, 2014 9:31 pm
venigalla999 wrote:Eligibility criteria: Tier1 (5Years) + ILR (1 Year)
Language criteria met (UK degree, exempt countries, PBS used documents, NARIC, or B1 test): UK Masters Degree
Current nationality: Indian
Method of application: NCS
Council name if NCS used: Luton
Date of application: 18/11/2014
Payment method CC/DC, Personal cheque, Bankers cheque etc: Visa Debit Card
Date of receipt by UKBA: 20/11/2014 [DX Secure]
Date of acknowledgment: Waiting
Date of debit or clearance of fees: 01/12/2014 [Payment Desc : Nationality Direct]
Date approval received: Waiting
Date of ceremony: Waiting
Processing Starts

-
Dawhizzy
- Newly Registered
- Posts: 25
- Joined: Mon Aug 26, 2013 8:57 am
Post
by Dawhizzy » Mon Dec 01, 2014 10:55 pm
Seems like UKBA debited a few of us today. God willing, approval letter will come before the end of the month! Amen! See my timeline below:
Eligibility criteria: 10yrs + 1 year ILR
Method of application: NCS Kensington
Date of application: 20/11/14
Payment method : CC
Date of receipt by UKBA: 21/11/14
Date of debit or clearance of fees: 01/12/2014
Date of acknowledgment: waiting
Date approval received: waiting
Date of ceremony:waiting